Sección fuera de línea

    • HIDROCARBUROS AROMÁTICOS

      El término aromático se utiliza por razones históricas para referirse a la clase de compuestos estructuralmente relacionados con el benceno. El benceno es descrito por la teoría de enlace-valencia como un híbrido de resonancia de dos estructuras equivalentes.

      El benceno es descrito por la teoría del orbital molecular como una molécula conjugada cíclica y plana con seis electrones pi. De acuerdo con la regla de Hückel, para que una molécula sea aromática debe tener 4n + 2 electrones π.

      Los compuestos aromáticos tienen las siguientes características:

      • Los compuestos aromáticos son cíclicos, planos y conjugados.

      • Los compuestos aromáticos son inusualmente estables; por ejemplo, el benceno tiene un calor de hidrogenación 150 kJ/mol menor de lo que podría esperarse para el trieno cíclico.

      • Los compuestos aromáticos reaccionan con los electrófilos para dar productos de sustitución, en los que se retiene la conjugación cíclica, en lugar de productos de adición, en los que se destruye la conjugación.

      • Los compuestos aromáticos tienen 4n + 2 electrones π, los cuales se deslocalizan sobre el anillo.

      Los invitamos a adentrarnos al estudio de este tipo de compuestos orgánicos:

      UN POQUITO DE HISTORIA…¿Cómo nacieron los hidrocarburos aromáticos?

        

       

       Analicemos la estructura del benceno

       

      Repasando la nomenclatura
        
       
      COMPUESTOS MONOSUSTITUIDOS DEL BENCENO

      Son aquellos compuestos que resultan de reemplazar un hidrógeno del Benceno por un algún sustituyente. 
      • Estos sustituyentes son grupos funcionales que le confieren propiedades químicas particulares a cada compuesto.

      • Aunque hay que evitar el uso de nombres comunes, las reglas de la IUPAC permiten conservar algunos de los más difundidos.

      • A continuación se detallan los compuestos más comunes y sus usos y funciones: 

      • TOLUENO

      USOS:

      • se adiciona a los combustibles (como antidetonante) 

      • disolvente para pinturas, revestimientos, caucho, resinas, diluyente en lacas nitrocelulósicas y en adhesivos. 

      • Precursor en la manufactura de ácido benzoico, benzaldehído y otros compuestos orgánicos.

      • Producto de partida en la síntesis del TNT (2,4,6-trinitrotolueno), un conocido explosivo. 

      • También se puede utilizar en la fabricación de colorantes.

      • FENOL



      USOS:

      • Producción de resinas fenólicas, nylon y otras fibras sintéticas. 

      • El fenol es muy utilizado en la industria química, farmacéutica y clínica como un potente fungicida, bactericida, antiséptico y desinfectante, 

      • Producción de agroquímicos, bisfenol A (materia prima para producir resinas epoxi y policarbonatos), en el proceso de fabricación de ácido acetilsalicílico (aspirina) y en preparaciones médicas como enjuagues bucales y pastillas para el dolor de garganta.

      • ANILINA


      USOS:

      • Se utiliza también para la fabricación de caucho, herbicidas, productos a base de látex, barnices, explosivos, aditivos, pigmentos.

      • En la sección de medicamentos, esta molécula es la base estructural para la síntesis química del paracetamol. 

      • En la industria textil, la anilina tiene su uso principal como precursor del color índigo, tinte que se utiliza para pintar de azul las telas.​

      • BENZALDEHÍDO


      USOS:

      • Saborizante alimentario comercial (sabor de almendras) o disolvente industrial,

      • Síntesis de otros compuestos orgánicos, que van desde fármacos hasta aditivos de plásticos. 

      • Intermediario importante para el procesamiento de perfume y compuestos saborizantes, y en la preparación de ciertos colorantes de anilina.

      ÁCIDO BENZOICO


      USOS:

      • Es un conservante utilizado tanto como ácido como en forma de sus sales de sodio, de potasio o de calcio.

      • También es producto de partida en la producción de ésteres del ácido benzoico que se utilizan en perfumería.

      • Se usa para condimentar el tabaco, para hacer pastas dentífricas, como germicida en medicina y como intermediario en la fabricación de plastificantes y resinas.


      NOMENCLATURA

      Si se utiliza como nombre base el de un benceno sustituido (anilina, fenol, tolueno, etc.), el sustituyente que da lugar al nombre base debe ocupar la posición 1.



      Propiedades físicas

      • Las propiedades físicas de los compuestos dependen generalmente del tipo de enlaces que mantienen unidos a sus átomos.

      • La correlación entre las propiedades físicas y la estructura depende de las interacciones o fuerzas intermoleculares.

      FUERZAS DE INTERACCIÓN MOLECULAR

      • Los hidrocarburos aromáticos están formados principalmente por átomos de C e H.

      • Las diferencias de electronegatividad de carbono e hidrogeno es tan pequeña que no produce polaridad en estas moléculas. Por tanto, la asociación intermolecular que los caracteriza son las FUERZAS DE DISPERSIÓN DE LONDON

      • Las propiedades físicas dependen tan solo del peso molecular.

      PUNTO DE EBULLCIÓN

      • Al igual que en los hidrocarburos alifáticos, los puntos de ebullición de estos compuestos aumentan a medida que aumenta el peso molecular; usualmente se produce un aumento entre 20 y 30 °C por cada átomo de carbono que se agrega a la cadena.Fisicoquímica y Química Sagrado Corazón: PUNTOS DE FUSION Y EBULLICION


      1.2.3 Propiedades físicas y cambios físicos - blacquimica1PUNTO DE FUSIÓN

      • Los puntos de fusión aumentan a medida que aumenta el peso molecular

      • Los puntos de fusión también dependen de la simetría estructural de las moléculas. Las moléculas mas simétricas tienen mayor punto de fusión que las asimétricas. 

      • Así, entre los bencenos disustituidos, los isómeros para son mas simétricos que los meta y que los orto, presentando mayor punto de fusión. Por otra parte, la introducción de un grupo metilo al benceno, lo hace perder su simetría, bajando su punto de fusión de 5,5ºC (benceno) a -95ºC (metil-benceno).

      SOLUBILIDADInicio | Los Radicales

      • Tal como se señalo anteriormente, las fuerzas de asociación molecular que mantienen a estos compuestos en su estado físico respectivo, son fuerzas dispersión de London

      • De esto se deduce que estos compuestos son altamente hidrofóbicos y apolares, por lo tanto, insolubles en agua y solubles en solventes apolares como los hidrocarburos alifáticos o aromáticos.

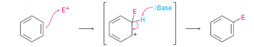
      Propiedades químicas
      • Las características químicas principales de estos hidrocarburos es que reaccionan por la vía de sustituir sus hidrógenos por agentes electrofílicos

      SUSTITUCIÓN ELECTROFÍLICA
      • Ocurre con la participación de compuestos electrófilos que son especies que atacan los anillos aromáticos, son ávidos por electrones (CH3+, SO3, X+ , NO2+)

      • 4 tipos de reacciones:

        • SULFONACIÓN

        • NITRACIÓN 

        • ALQUILACIÓN 

        • HALOGENACIÓN


      • SULFONACIÓN

      La sulfonación utiliza como reactivo trióxido de azufre, el cual es el encargado de sustituir un hidrógeno del anillo bencénico.


      Reactivos: Benceno + SO3

      Catalizador: H2SO4

      Electrófilo: SO3


      • NITRACIÓN:

      La nitración utiliza como reactivo una mezcla de ácido nítrico y sulfúrico. El ácido sulfúrico protona el –OH del ácido nítrico que se elimina en forma de agua generando el catión nitronio, 


      Reactivos: Benceno + HNO3

      Catalizador: H2SO4

      Electrófilo: NO2+

      • ALQUILACIÓN: Friedel-Craft


      Reactivos: Benceno + Cloruro de isopropilo

      Catalizador: FeCl3/ AlCl3

      Electrófilo: (CH3)2CH+

      • HALOGENACIÓN:


      Reactivos: Benceno + Cl2

      Catalizador: FeCl3/ AlCl3

      Electrófilo: Cl+

      En ambas reacciones se requiere la presencia de un ácido de Lewis para lograr la formación del electrófilo. El cual será el encargado de sustituir un H del anillo bencénico

      EFECTOS DE LOS GRUPOS SUSTITUYENTES
      • Al sustituyente presente (G) se lo clasifica de acuerdo a cómo influye sobre la reactividad y la orientación:

       
      • Según su influencia sobre la reactividad del compuesto frente al electrófilo atacante

      • Activante (favorece la SE)


      • Desactivante (desfavorece la SE)

         
      • Según su influencia sobre la orientación para la entrada de un segundo sustituyente

      • Orientador a orto y para 

      (favorece la SE en esas posiciones)

      • Orientador a meta 

      (favorece la SE en esa  posición)


      Según la reactividad

           
                                                


      Según los resultados experimentales se ha concluido que:

      • Los sustituyentes Activantes son orientadores a orto- y  para-

      • Los sustituyentes  Desactivantes son orientadores a meta-

      • Los Halógenos son desactivantes y orientadores a orto- y para (excepción de las dos reglas anteriores).

      • Un grupo desactivante, desactiva todas las posiciones, pero desactiva  más las posiciones orto y para. 

      • Un grupo activante activa todas las posiciones, pero activa más las  posiciones orto y para. 

      Clasificación de los grupos sustituyentes


      REACCIONES REDOX

      • Reacciones de Oxidación:

      El benceno a diferencia de los alquenos no reacciona frente a agentes oxidantes tales como KMnO4, K2Cr2O7, etc.




      • Reacciones de Reducción:

      El núcleo del benceno, fija seis átomos de hidrógeno formándose así el ciclohexano
      Química Orgánica Industrial

      Algunas reacciones de cadenas laterales 

      Halogenación




      Oxidación 

      En cadenas laterales con al menos 1 enlace C - H







      Síntesis de compuestos aromáticos

      Síntesis de ácido p-dodecilbensulfónico a partir de benceno


      Estrategia de síntesis

      1.- ¿Se puede partir de

              o          ?

      El análisis de los grupos presentes indica que, uno de ellos, es un orientador orto-para: ( CH2)11CH3 y el otro, es un orientador meta: SO3H

      Luego, el esquema de la síntesis es

      Síntesis de compuestos aromáticos


      Estrategia de síntesis

      1.- ¿Se puede partir de

         o        ?

      La respuesta es no, ya que en cada uno de ellos hay un sustituyente orientador a la posición meta (COOH y NO2)

      Como en el producto ambos sustituyentes están en la posición para, por lo menos uno de ellos, inicialmente era un orientador orto-para que después sufrió una transformación química, transformándose en un orientador meta.

      El análisis de los grupos presentes indica que, lo más probable es que el grupo carboxilo provenga de la oxidación de un grupo alquilo presente en un anillo que ya tenía incorporado el grupo nitro (inerte a la oxidación).

      Luego, el reactivo inicial es el tolueno, que por nitración da p-nitrotolueno


      y el esquema de la síntesis es

      SUSTITUCIÓN NUCLEOFÍLICA

      • El clorobenceno, compuesto monosustituido del benceno, tiene la capacidad de sufrir sustitución nucleofílica aromática, para formar fenol. Esto puede observarse en la siguiente reacción general: