Salta al contenido principal
AulaAbierta
  • Inicio
  • Calendario
  • Más
Español - Argentina ‎(es_ar)‎
English ‎(en)‎ Español - Argentina ‎(es_ar)‎ Español - Internacional ‎(es)‎
Está utilizando el acceso para visitantes
Inicio de sesión
AulaAbierta
Inicio Calendario
Expandir todo Contraer todo
  1. Panel de control
  2. Análisis Matemático II - 2025
  3. U1
  4. Ejercicios del TP1 resueltos (escritos a mano en su mayoría)

Ejercicios del TP1 resueltos (escritos a mano en su mayoría)

Requisitos de finalización

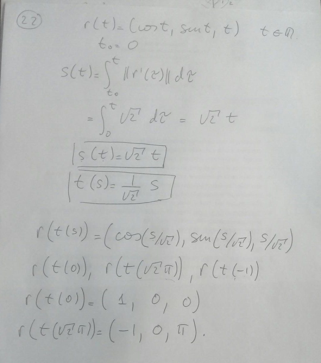
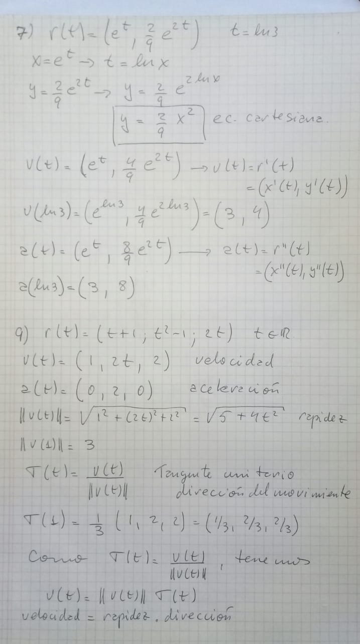
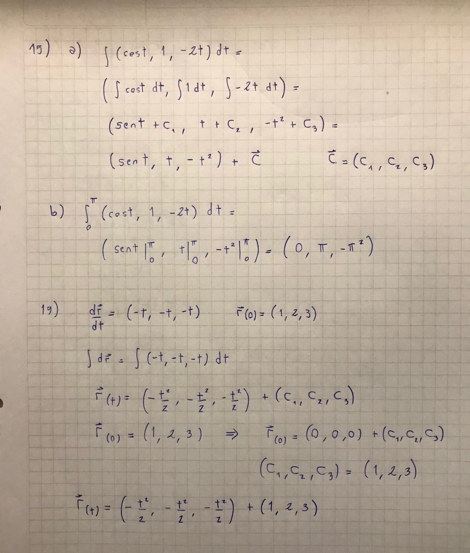
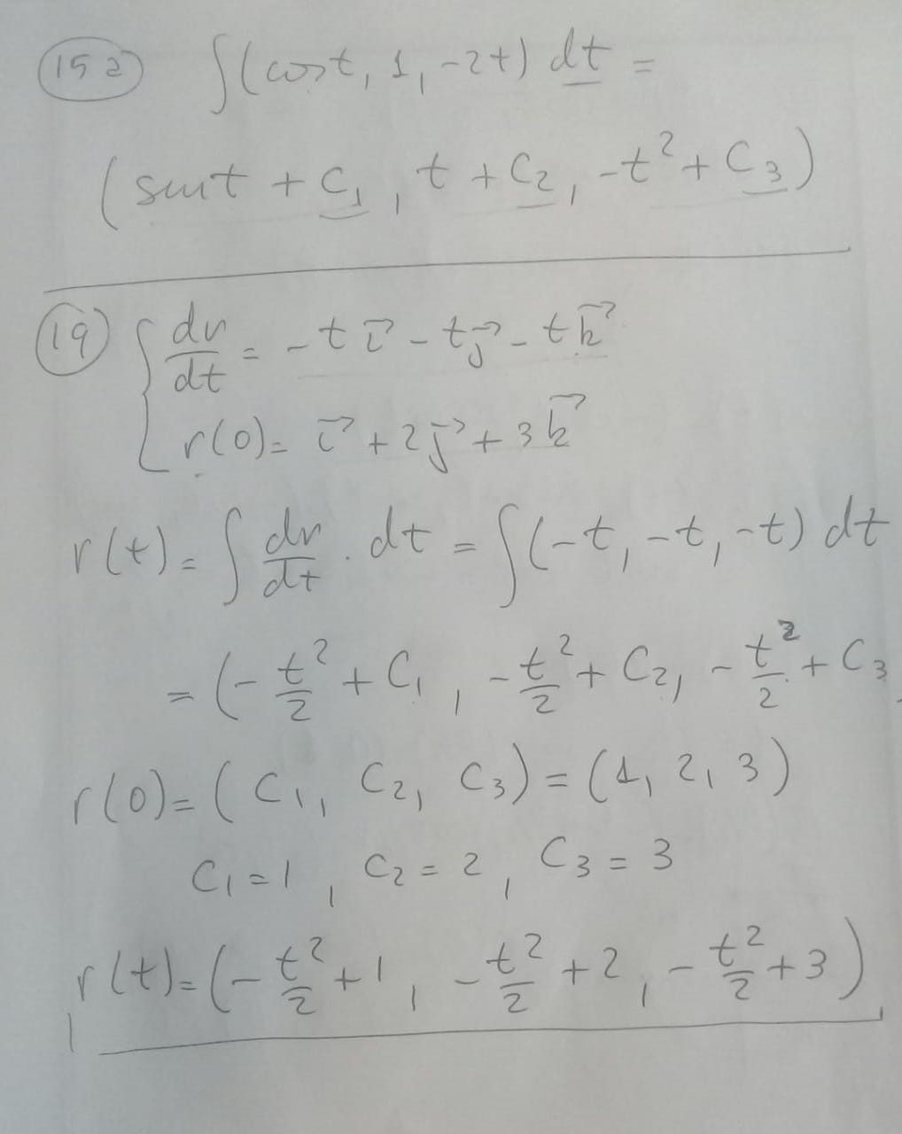
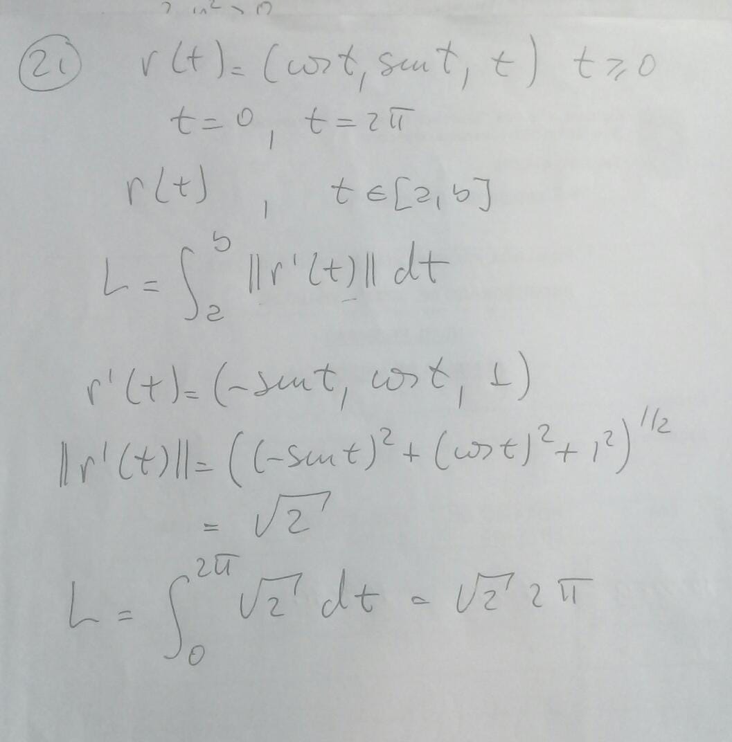
Algunos ejercicios resueltos. En general han surgido durante consultas.

    • 15.19.TP1.jpg
    • 21.TP1.jpg
    • Ej 7 y 9 tp 1.jpeg
    • ejerc 15a y 19. tp 1.jpeg
    • Ejerc 21. tp 1.jpeg
    • Ejerc 22. tp 1.jpeg
    • ejercicio 4 c.pdf ejercicio 4 c.pdf
    • tp1 ejercicio 11.jpg
    • tp1 ejercicio 12.pdf tp1 ejercicio 12.pdf
    • tp1-13.png
    • tp1-24b.png
    • tp1-27a.png
    • tp1-28y29.pdf tp1-28y29.pdf
    • tp1ej1,3,6.pdf tp1ej1,3,6.pdf
Está utilizando el acceso para visitantes (Inicio de sesión)
Resumen de retención de datos
Descargar la app para dispositivos móviles
Desarrollado por Moodle