Skip to main content
AulaAbierta
  • Home
  • Calendar
  • More
English ‎(en)‎
English ‎(en)‎ Español - Internacional ‎(es)‎
You are currently using guest access
Log in
AulaAbierta
Home Calendar
Expand all Collapse all
  1. Dashboard
  2. Análisis Matemático II - 2026
  3. U1
  4. Ejercicios del TP1 resueltos (escritos a mano en su mayoría)

Ejercicios del TP1 resueltos (escritos a mano en su mayoría)

Completion requirements

Algunos ejercicios resueltos. En general han surgido durante consultas.

    • 15.19.TP1.jpg
    • 21.TP1.jpg
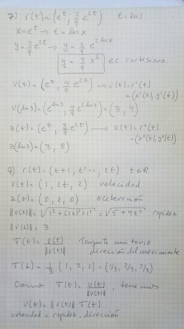
    • Ej 7 y 9 tp 1.jpeg
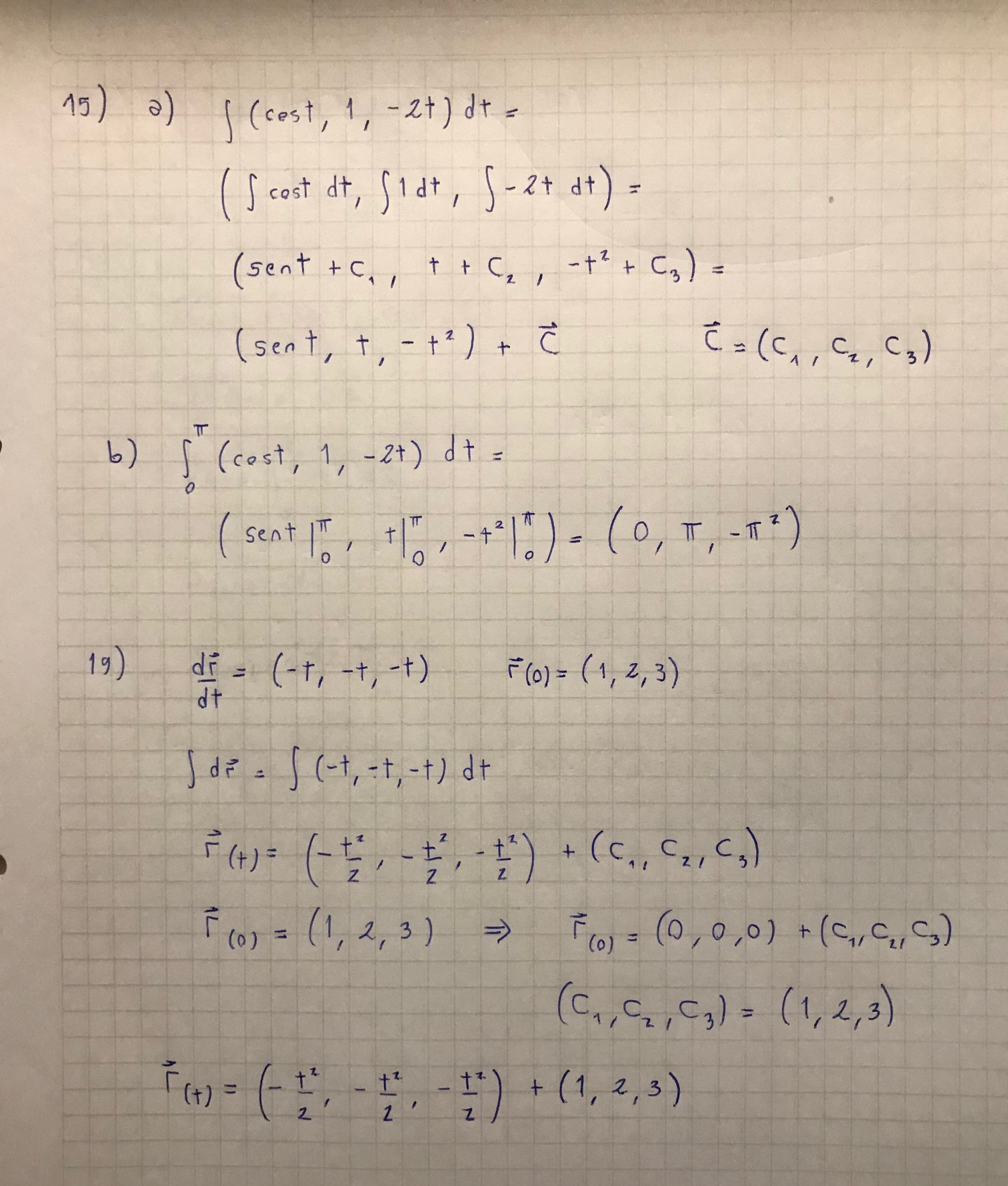
    • ejerc 15a y 19. tp 1.jpeg
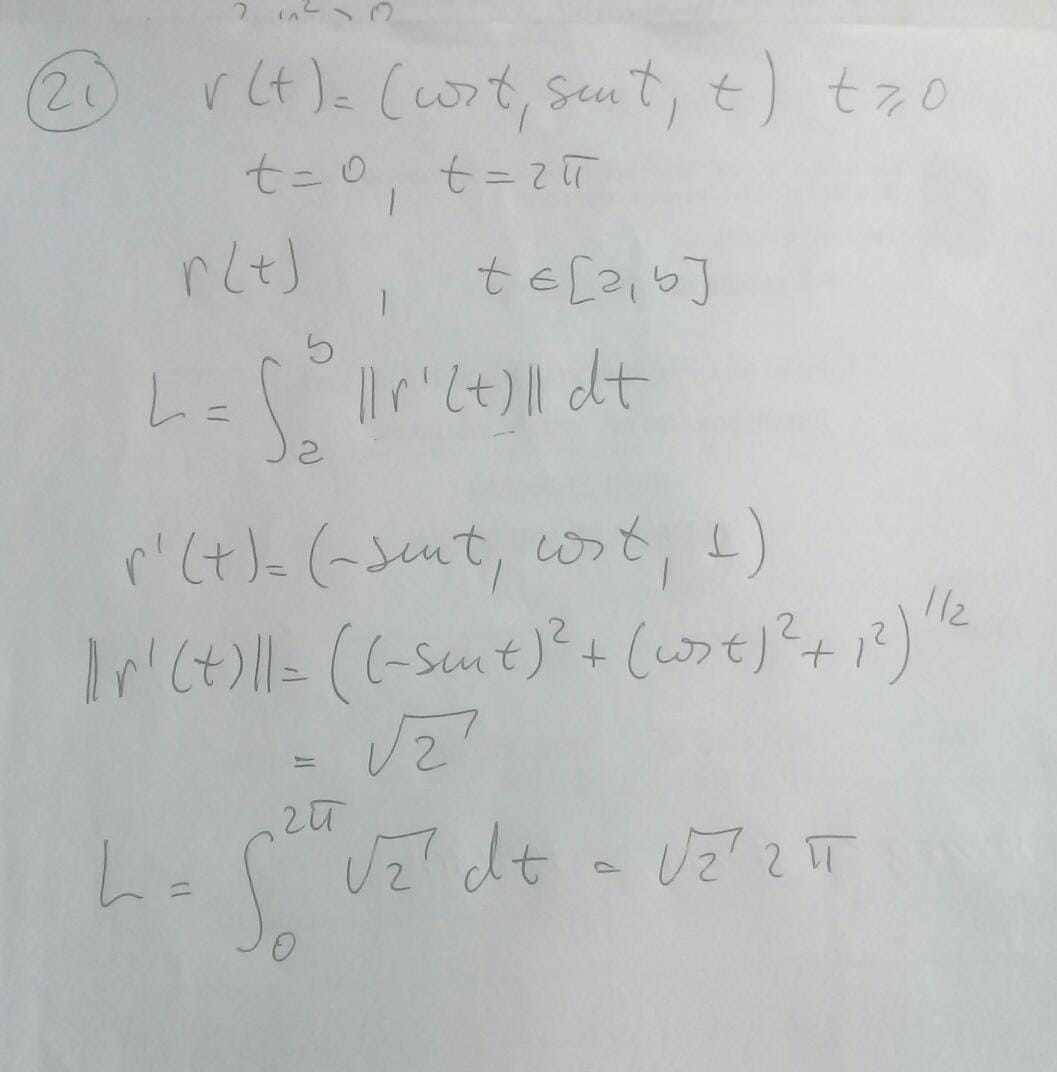
    • Ejerc 21. tp 1.jpeg
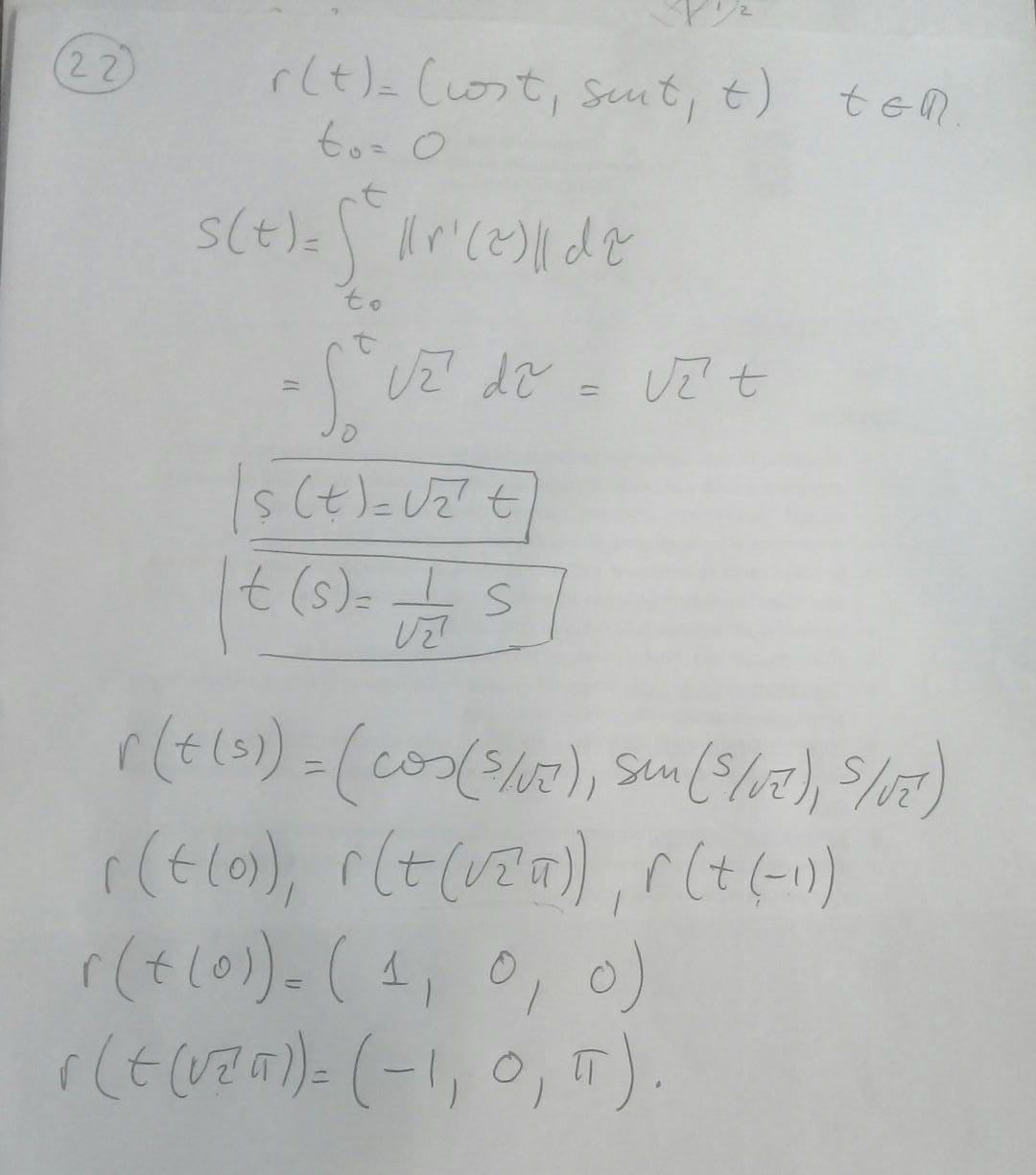
    • Ejerc 22. tp 1.jpeg
    • ejercicio 4 c.pdf ejercicio 4 c.pdf
    • tp1 ejercicio 11.jpg
    • tp1 ejercicio 12.pdf tp1 ejercicio 12.pdf
    • tp1-13.png
    • tp1-24b.png
    • tp1-27a.png
    • tp1-28y29.pdf tp1-28y29.pdf
    • tp1ej1,3,6.pdf tp1ej1,3,6.pdf
You are currently using guest access (Log in)
Data retention summary
Get the mobile app
Powered by Moodle