Salta al contenido principal
AulaAbierta
  • Inicio
  • Calendario
  • Más
Español - Argentina ‎(es_ar)‎
English ‎(en)‎ Español - Argentina ‎(es_ar)‎ Español - Internacional ‎(es)‎
Está utilizando el acceso para visitantes
Inicio de sesión
AulaAbierta
Inicio Calendario
Expandir todo Contraer todo
  1. Panel de control
  2. Análisis Matemático II - 2026
  3. U2
  4. Ejercicios resueltos (en PDF) de TP 2

Ejercicios resueltos (en PDF) de TP 2

Requisitos de finalización

Encontrarán un documento Word con las url de videos de ejercicios resueltos y, además, archivos con otros ejercicios resueltos por escrito.

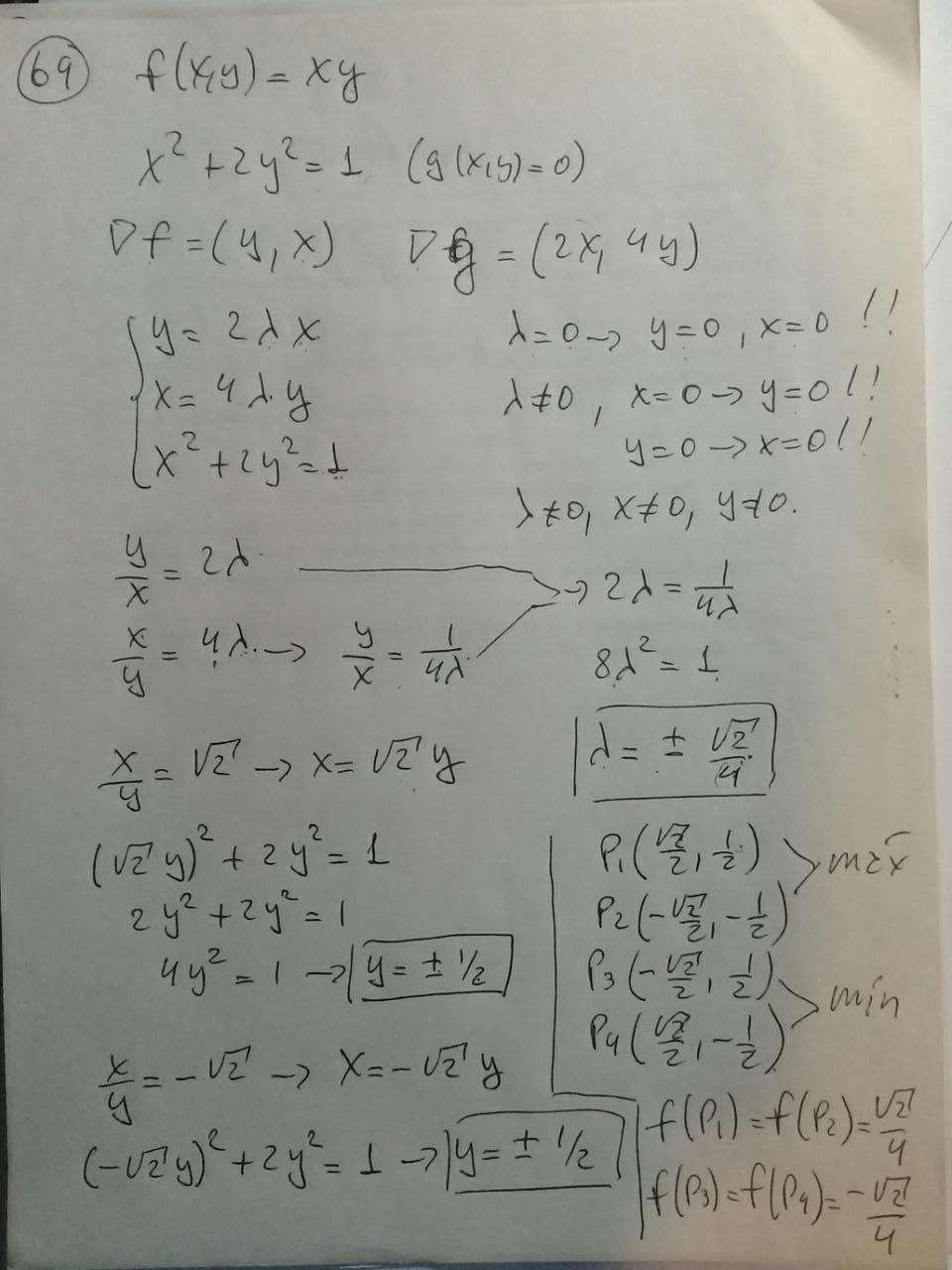
    • ejerc 69 tp 2.jpeg
    • ejerc 71 tp 2.jpeg
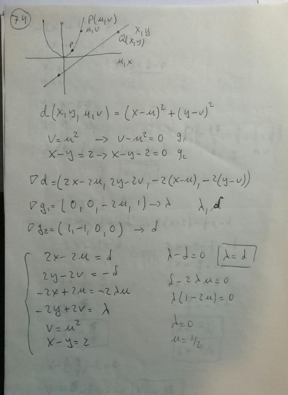
    • ejerc 74 tp2 parte1.jpeg
    • ejerc 74 tp2 parte2.jpeg
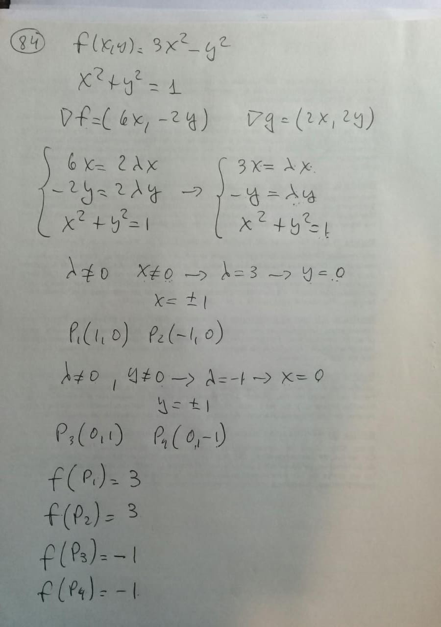
    • ejerc 84 tp 2.jpeg
    • ejercicio 5 c.pdf ejercicio 5 c.pdf
    • ejercicio 6.pdf ejercicio 6.pdf
    • ejercicio 20 a.pdf ejercicio 20 a.pdf
    • ejercicio 23.pdf ejercicio 23.pdf
    • ejercicio 30.pdf ejercicio 30.pdf
    • ejercicio 34 a.pdf ejercicio 34 a.pdf
    • ejercicio 35.pdf ejercicio 35.pdf
    • ejercicio 37a tp2.pdf ejercicio 37a tp2.pdf
    • ejercicio 37b tp2.pdf ejercicio 37b tp2.pdf
    • ejercicio 43.pdf ejercicio 43.pdf
    • ejercicio 48.pdf ejercicio 48.pdf
    • ejercicio 49 tp2.pdf ejercicio 49 tp2.pdf
    • ejercicio 50 tp 2.pdf ejercicio 50 tp 2.pdf
    • ejercicio 53.pdf ejercicio 53.pdf
    • ejercicio 56.pdf ejercicio 56.pdf
    • ejercicio 60.pdf ejercicio 60.pdf
    • ejercicio 63.pdf ejercicio 63.pdf
    • ejercicio 64.pdf ejercicio 64.pdf
    • ejercicio 68.pdf ejercicio 68.pdf
    • ejercicio 69.jpg
    • ejercicio 70.pdf ejercicio 70.pdf
    • ejercicio 73.pdf ejercicio 73.pdf
    • ejercicio 74.jpg
    • ejercicio 84.jpg
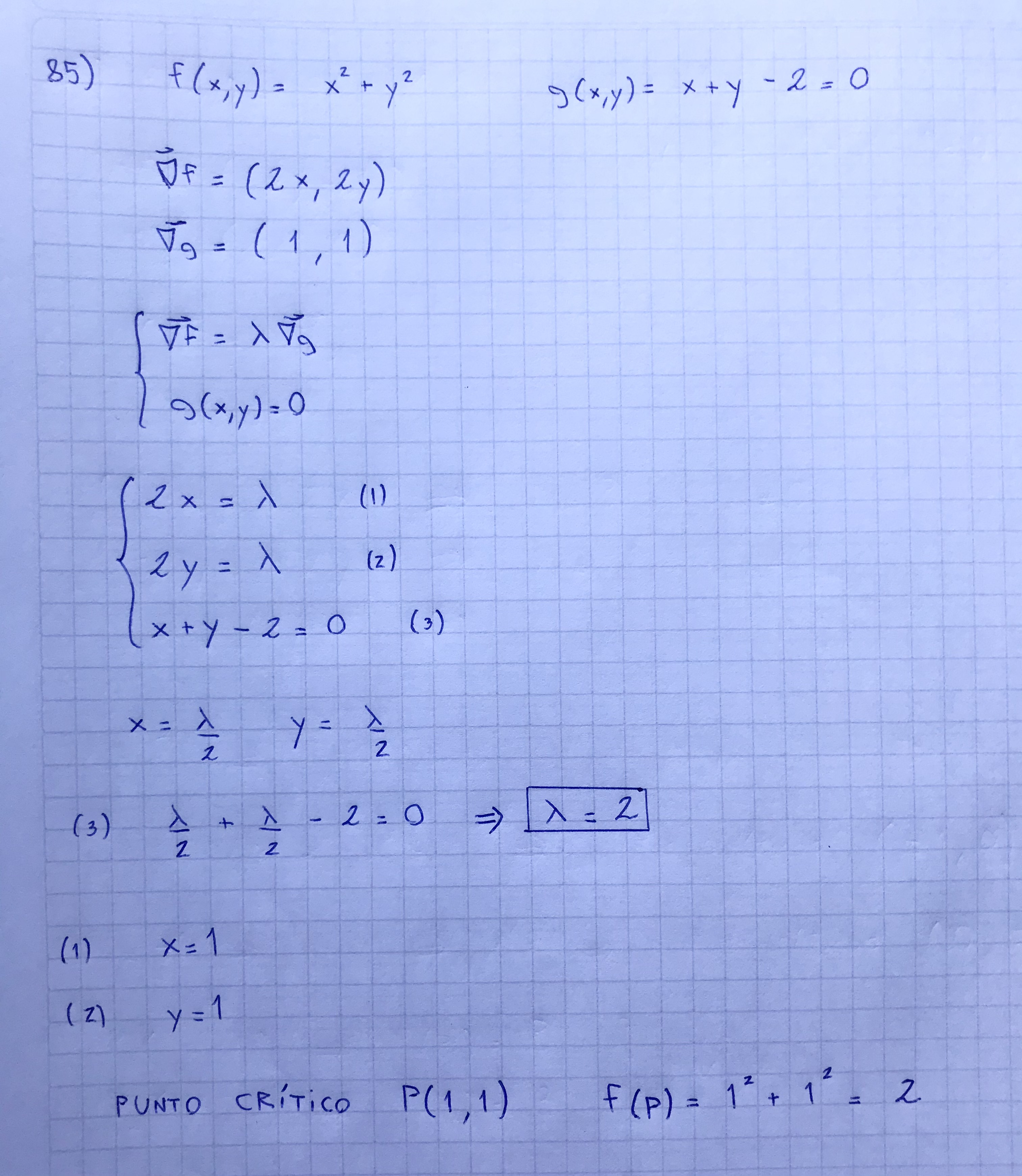
    • ejercicio 85.jpg
    • tp2 ej 2,3,4,6.pdf tp2 ej 2,3,4,6.pdf
    • Tp2 ej 21b, 24, 29, 34,36a,b.pdf Tp2 ej 21b, 24, 29, 34,36a,b.pdf
    • Tp2 ej 58a,d,60,64.pdf Tp2 ej 58a,d,60,64.pdf
    • TP2 ejr 5 , 8.pdf TP2 ejr 5 , 8.pdf
    • TP2_ej41abc.jpg
    • TP2_ej41de.jpg
    • TP2_ej45.jpg
Está utilizando el acceso para visitantes (Inicio de sesión)
Resumen de retención de datos
Descargar la app para dispositivos móviles
Desarrollado por Moodle