Salta al contenido principal
AulaAbierta
  • Inicio
  • Calendario
  • Más
Español - Argentina ‎(es_ar)‎
English ‎(en)‎ Español - Argentina ‎(es_ar)‎ Español - Internacional ‎(es)‎
Está utilizando el acceso para visitantes
Inicio de sesión
AulaAbierta
Inicio Calendario
Expandir todo Contraer todo
  1. Panel de control
  2. Análisis Matemático II (segundo semestre)
  3. U1
  4. Ejercicios del TP1 resueltos (escritos a mano en su mayoría)

Ejercicios del TP1 resueltos (escritos a mano en su mayoría)

Requisitos de finalización

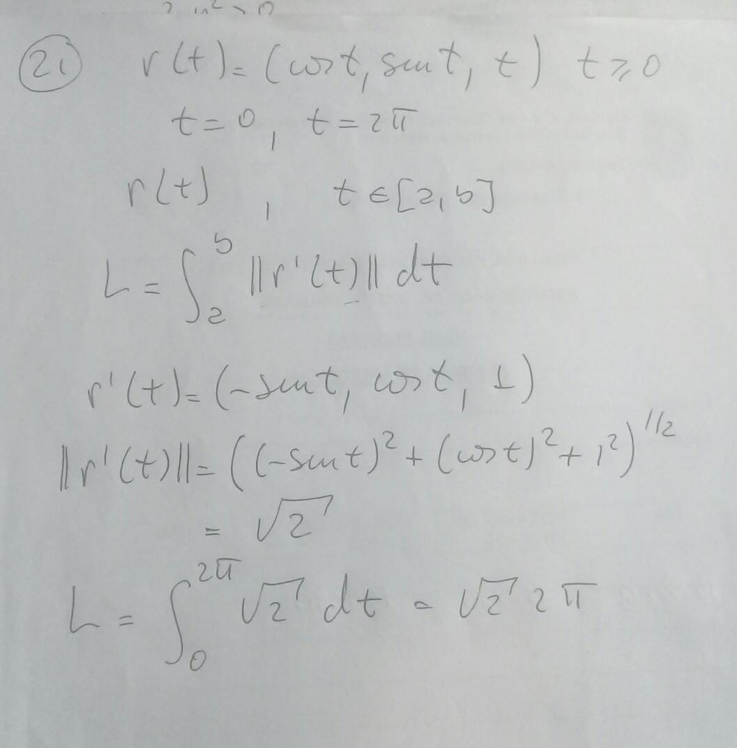
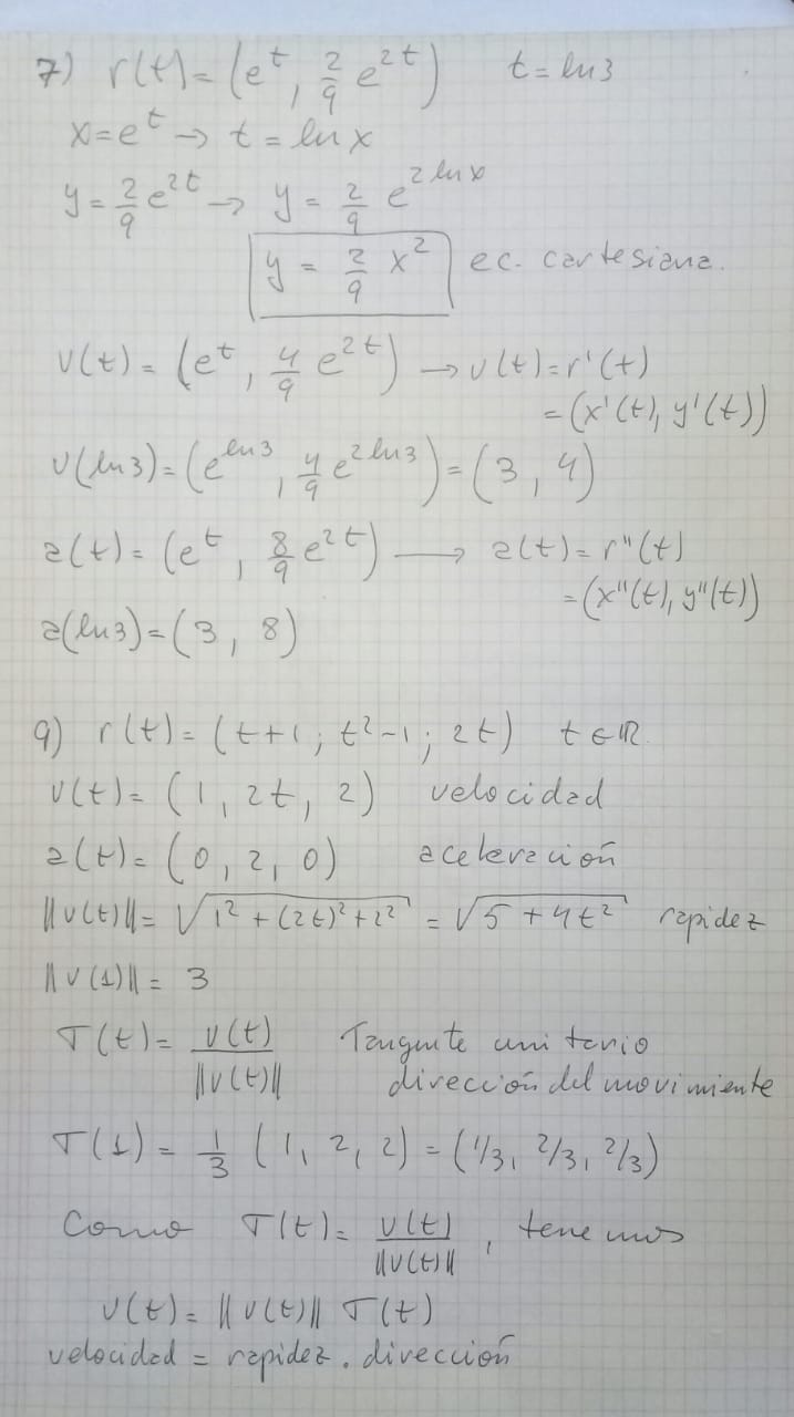
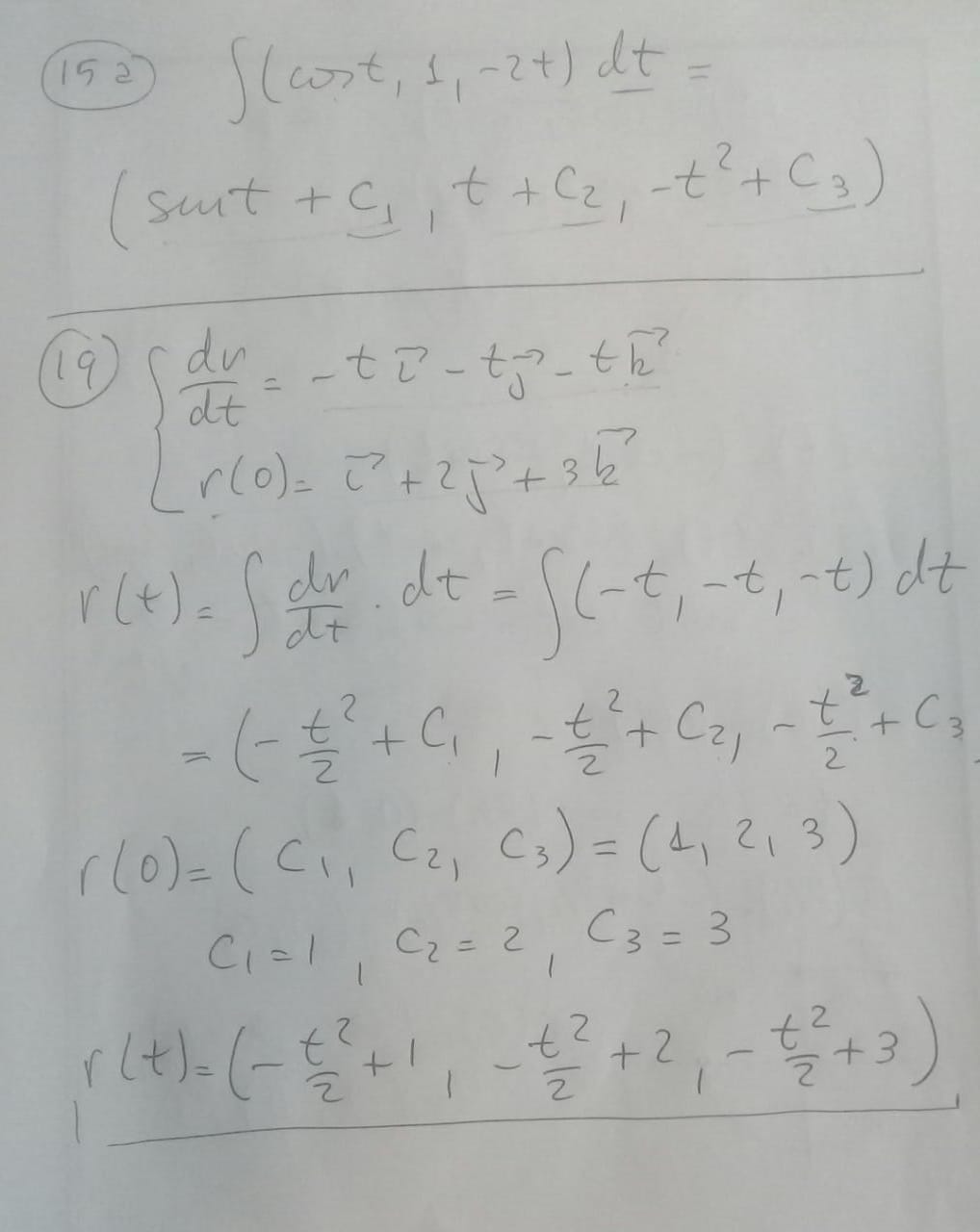
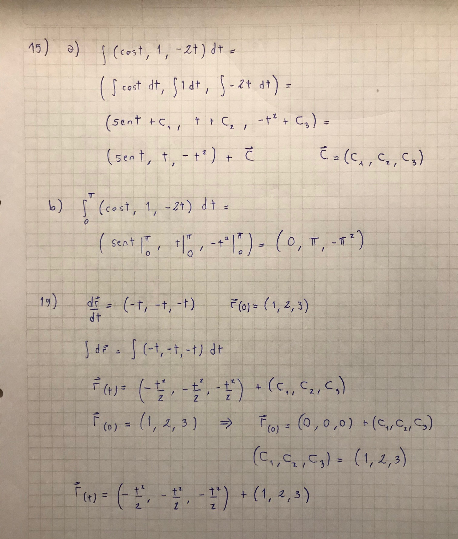
Algunos ejercicios resueltos. En general han surgido durante consultas en el foro.

    • 15.19.TP1.jpg
    • 21.TP1.jpg
    • Ej 7 y 9 tp 1.jpeg
    • ejerc 15a y 19. tp 1.jpeg
    • Ejerc 21. tp 1.jpeg
    • Ejerc 22. tp 1.jpeg
    • ejercicio 4 c.pdf ejercicio 4 c.pdf
    • tp1 ejercicio 11.jpg
    • tp1 ejercicio 12.pdf tp1 ejercicio 12.pdf
    • tp1-13.png
    • tp1-24b.png
    • tp1-27a.png
    • tp1-28y29.pdf tp1-28y29.pdf
    • tp1-31a.png
    • tp1-33.png
    • tp1ej1,3,6.pdf tp1ej1,3,6.pdf
Está utilizando el acceso para visitantes (Inicio de sesión)
Resumen de retención de datos
Descargar la app para dispositivos móviles
Desarrollado por Moodle