Skip to main content
AulaAbierta
  • Home
  • Calendar
  • More
English ‎(en)‎
English ‎(en)‎ Español - Argentina ‎(es_ar)‎ Español - Internacional ‎(es)‎
You are currently using guest access
Log in
AulaAbierta
Home Calendar
Expand all Collapse all
  1. Dashboard
  2. Análisis Matemático II (segundo semestre)
  3. U2
  4. Ejercicios resueltos (en PDF) de TP 2

Ejercicios resueltos (en PDF) de TP 2

Completion requirements

Encontrarán un documento Word con las url de videos de ejercicios resueltos y, además, archivos con otros ejercicios resueltos por escrito.

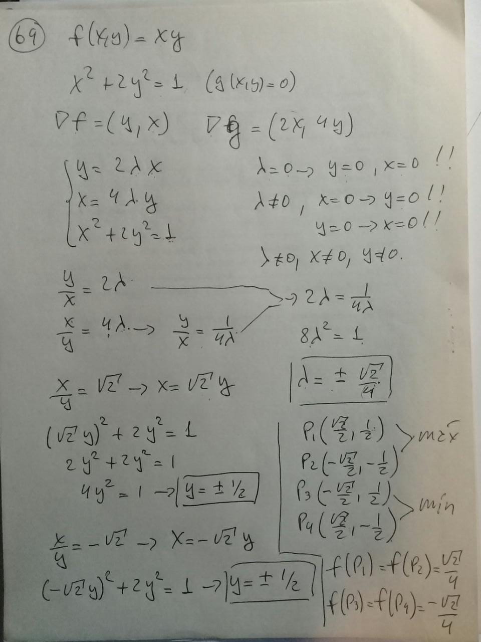
    • ejerc 69 tp 2.jpeg
    • ejerc 71 tp 2.jpeg
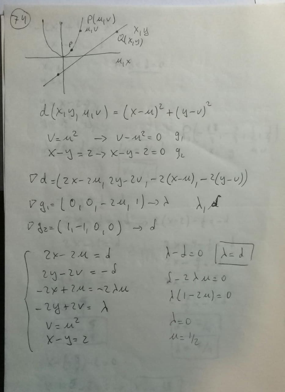
    • ejerc 74 tp2 parte1.jpeg
    • ejerc 74 tp2 parte2.jpeg
    • ejerc 84 tp 2.jpeg
    • ejercicio 5 c.pdf ejercicio 5 c.pdf
    • ejercicio 6.pdf ejercicio 6.pdf
    • ejercicio 20 a.pdf ejercicio 20 a.pdf
    • ejercicio 23.pdf ejercicio 23.pdf
    • ejercicio 30.pdf ejercicio 30.pdf
    • ejercicio 34 a.pdf ejercicio 34 a.pdf
    • ejercicio 35.pdf ejercicio 35.pdf
    • ejercicio 37a tp2.pdf ejercicio 37a tp2.pdf
    • ejercicio 37b tp2.pdf ejercicio 37b tp2.pdf
    • ejercicio 43.pdf ejercicio 43.pdf
    • ejercicio 48.pdf ejercicio 48.pdf
    • ejercicio 49 tp2.pdf ejercicio 49 tp2.pdf
    • ejercicio 50 tp 2.pdf ejercicio 50 tp 2.pdf
    • ejercicio 53.pdf ejercicio 53.pdf
    • ejercicio 56.pdf ejercicio 56.pdf
    • ejercicio 60.pdf ejercicio 60.pdf
    • ejercicio 63.pdf ejercicio 63.pdf
    • ejercicio 64.pdf ejercicio 64.pdf
    • ejercicio 68.pdf ejercicio 68.pdf
    • ejercicio 69.jpg
    • ejercicio 70.pdf ejercicio 70.pdf
    • ejercicio 73.pdf ejercicio 73.pdf
    • ejercicio 74.jpg
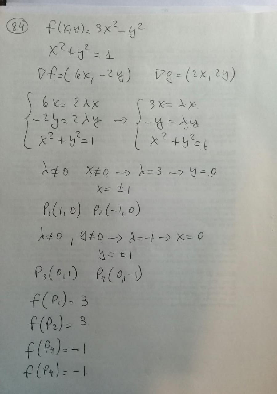
    • ejercicio 84.jpg
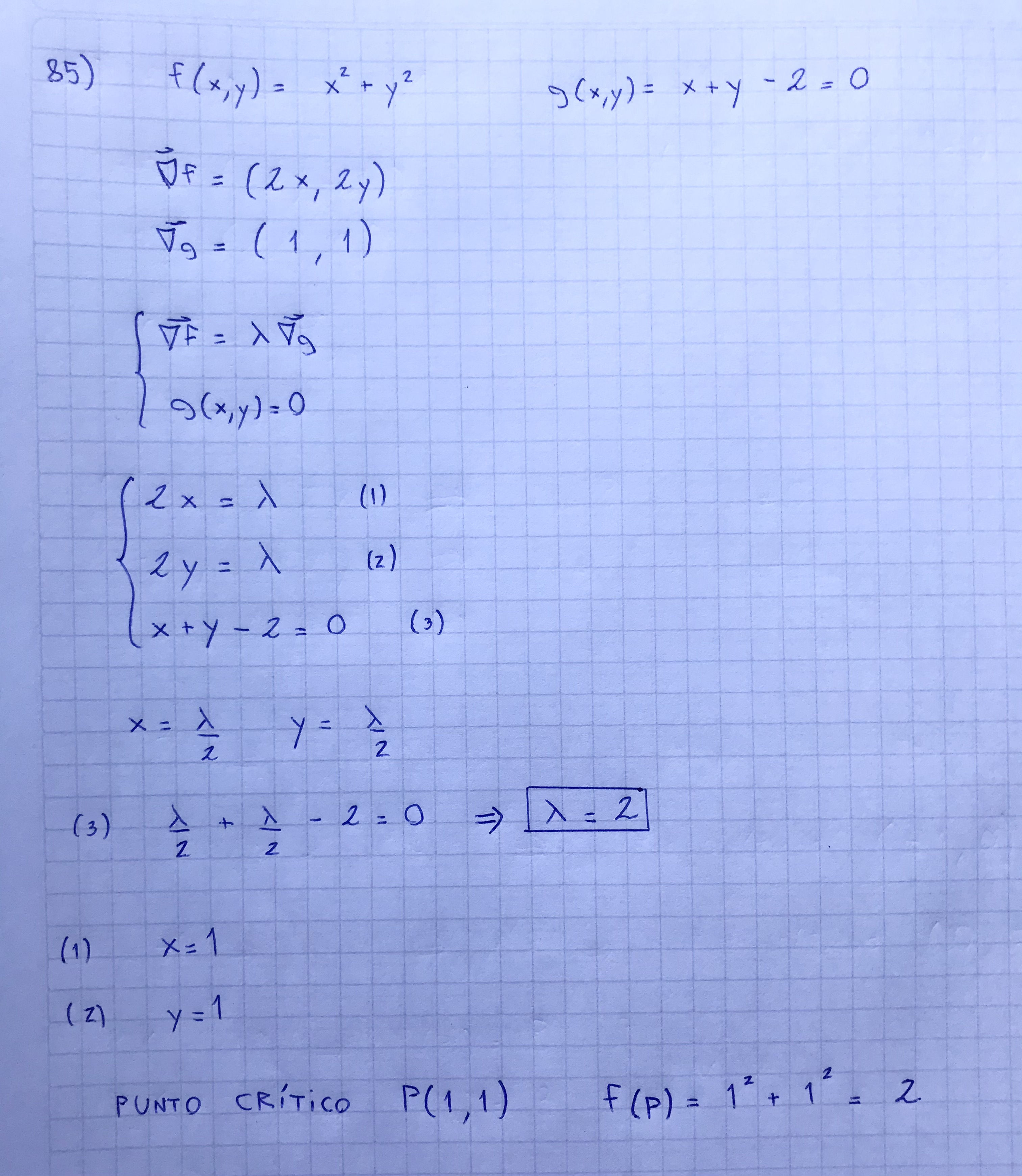
    • ejercicio 85.jpg
    • tp2 ej 2,3,4,6.pdf tp2 ej 2,3,4,6.pdf
    • Tp2 ej 21b, 24, 29, 34,36a,b.pdf Tp2 ej 21b, 24, 29, 34,36a,b.pdf
    • Tp2 ej 58a,d,60,64.pdf Tp2 ej 58a,d,60,64.pdf
    • TP2 ejr 5 , 8.pdf TP2 ejr 5 , 8.pdf
    • TP2_ej41abc.jpg
    • TP2_ej41de.jpg
    • TP2_ej45.jpg
You are currently using guest access (Log in)
Data retention summary
Get the mobile app
Powered by Moodle